1. 衡量應力集中的區(qū)域,布置應變片
可以通過模擬(有限元)或試驗(原型上涂上一層油漆,待油漆干后施加載荷,油漆剝落的地方應力集中),確定應力集中的區(qū)域,然后按左下圖在應力集中區(qū)域布置三個應變片:
因為材料是各向同性,所以x、y方向并不一定是水平和豎直方向,但兩者一定要垂直,中間一個一定要和x、y方向成45°角。
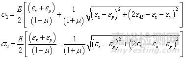
2. 根據測的應變和材料性能,計算應力
測得的三個應變,分別記為εx、εy、εxy。兩個主應力(假設只有彈性變形):
其中,E 為材料的彈性模量,µ 為泊松比。根據這兩個主應力,可以計算出有些方法可能需要的等效應力(主要目的是將多分量的應力狀態(tài)轉化為一個數值,以方便應用材料的疲勞數據),如米塞斯等效應力:
或最大剪應力:
實際測量的是應變-時間譜圖,應力(或等效應力)-時間譜圖可由上述公式計算。
3. 分解譜圖
就是對上面測得的應力(應變)-時間譜圖進行分解統計,計算出不同應力(包括幅度和平均值)循環(huán)下的次數,以便計算累積的損傷。最常用的是雨流法 (rainflow countingmethod)。
獲取材料數據
如果載荷頻率不高,可以做一組簡單的疲勞測試(正弦應力、拉壓或彎曲均可,有國家標準):
得到一條應力-壽命(即循環(huán)次數)曲線,即所謂的S-N曲線:
如果載荷頻率較高或溫度變化較大,還要測量不同平均應力和不同溫度下的S-N載荷,以便進行插值計算,因為此時平均應力對壽命有影響。也可以根據不同的經驗公式(如Goodman準則,Gerber準則等),以及其他材料性能(如拉伸強度,破壞強度等),由普通的S-N曲線(即平均應力為0)來計算平均應力不為零時對應的疲勞壽命。
如果材料數據極為有限,或者公司很窮很懶不愿做疲勞試驗,也可以由材料的強度估算疲勞性能。
如果出現塑性應變,累計損傷一般基于應變-壽命曲線(即E-N曲線),所以需要施加應變載荷。
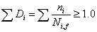
損傷計算
到目前為止,疲勞分析基本上是基于經驗公式,還沒有完全統一的理論。損傷累積的計算方法有很多種,最常用的是線性累計損傷(即Miner準則),但其結果不保守,計算得到的壽命偏高。

準確度比較高的累計準則是雙線性準則,并且計算比“破壞曲線法”要容易,所以,是一個很好的折衷選擇。
