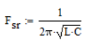
1、理論上理想的電容其阻抗隨頻率的增加而減少(1/jwc),但由于電容兩端引腳的電感效應,這時電容應該看成是一個LC串連諧振電路,自諧振頻率即器件的FSR參數,這表示頻率大于Fsr(串聯諧振頻率)值時,電容變成了一個電感(頻率超過Fsr電容此時呈感性),如果電容對地濾波,當頻率超出Fsr后,對干擾的抑制就大打折扣,所以需要一個較小的電容并聯對地,可以想想為什么?
電容器,高頻等效模型
原因在于小電容,Fsr值大,對高頻信號提供了一個對地通路,所以在電源濾波電路中我們常常這樣理解:大電容慮低頻,小電容慮高頻,根本的原因在于Fsr(自諧振頻率)值不同,當然也可以想想為什么?如果從這個角度想,也就可以理解為什么電源濾波中電容對地腳為什么要盡可能靠近地了。
2、那么在實際的設計中,我們常常會有疑問,我怎么知道電容的Fsr是多少?就算我知道Fsr值,我如何選取不同Fsr值的電容值呢?是選取一個電容還是兩個電容?
電容的Fsr值和電容值有關,和電容的引腳電感有關,所以相同容值的0402,0603,或直插式電容的Fsr值也不會相同,可以通過器件Data sheet查得,如100pf0402電容的Fsr值在500M左右。
電容的本質是通交流,隔直流,理論上說電源濾波用電容越大越好。
但由于引線和PCB布線原因,實際上電容是電感和電容的并聯電路,(還有電容本身的電阻,有時也不可忽略)這就引入了諧振頻率的概念:
在諧振頻率以下電容呈容性,諧振頻率以上電容呈感性。
因而一般大電容濾低頻波,小電容濾高頻波。
這也能解釋為什么同樣容值的STM封裝的電容濾波頻率比DIP封裝更高。
至于到底用多大的電容,這是一個參考。
不過僅僅是參考而已,用老工程師的話說——主要靠經驗。
更可靠的做法是將一大一小兩個電容并聯。
一般要求相差兩個數量級以上,以獲得更大的濾波頻段。
都是濾波的作用,鋁電解電容容量比較大,主要用于慮除低頻干擾。容量大約為1mA電流對應2~3μf,如過要求高的時候可以1mA對應5~6μf。無極性電容用于慮除高頻信號。單獨使用的時候大部分是去藕用的。有時可以與電解電容并聯使用。
